• Предмет: Алгебра
  • Автор: mariiasalogub
  • Вопрос задан 3 года назад

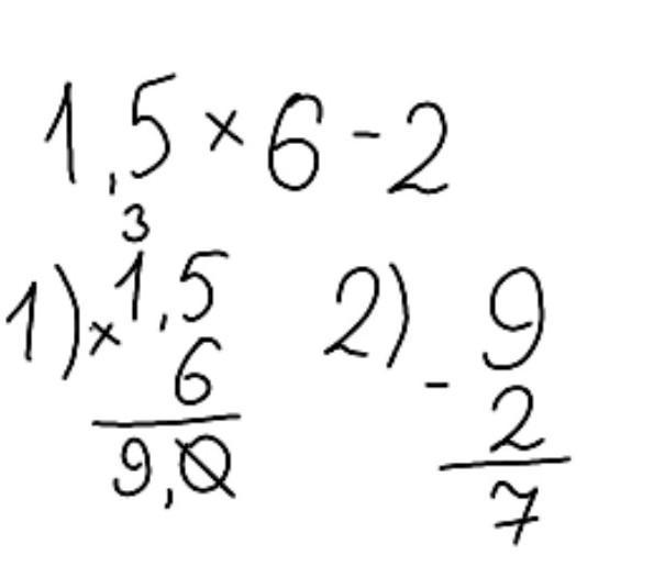
Як знайти значення виразу 1,5 × 6 - 2​

Ответы

Ответ дал: noob91
0

1,5×6-2 =7

пояснення:

1) 5 ×6 = 30

3+6=9,0=9

2) 9-2=7

відповідь: 7 .

Я в Українському не сильна:)

Приложения:
Вас заинтересует