• Предмет: Математика
  • Автор: sonyaasun
  • Вопрос задан 3 года назад

5. Подайте вираз у вигляді степеня:
1) (p7)2 • р5 =
2) (а5)3 : (a4)2 = ​

Ответы

Ответ дал: tatsach
2

Ответ:

Пошаговое объяснение:

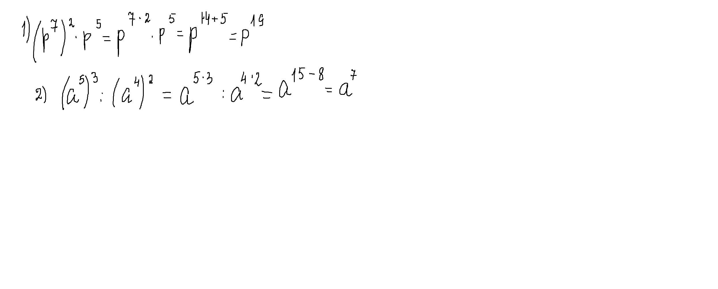
1) (p7)2 • р5 =р14*р5=р(14+5)=р19

2) (а5)3 : (a4)2 = ​а15:а8=а(15-8)=а7

Ответ дал: parus77
2

Ответ:

Пошаговое объяснение:

решение внизу

Приложения:
Вас заинтересует