• Предмет: Математика
  • Автор: Bondarenkofart86
  • Вопрос задан 3 года назад

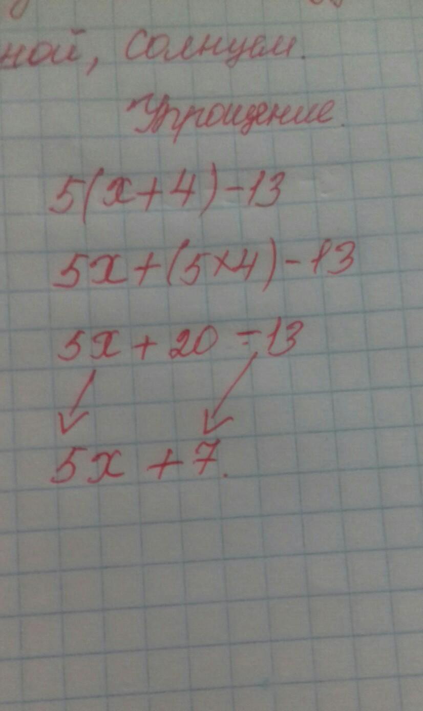
5( x+4)-13 уравнение


Ответы

Ответ дал: aliya20074538
5

Ответ:

Упрощение................

Приложения:
Вас заинтересует