• Предмет: Алгебра
  • Автор: kamilabilovsila111
  • Вопрос задан 3 года назад

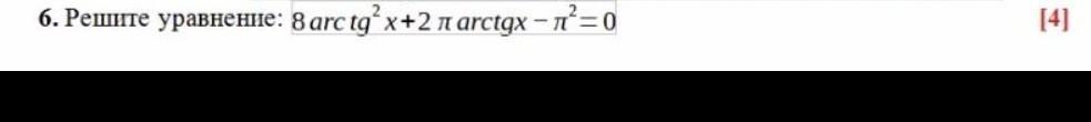
помогитее пожалуйста ​

Приложения:

Ответы

Ответ дал: Аноним
0

Ответ: решил

Объяснение:

Приложения:
Вас заинтересует
8 лет назад