Ответы
Ответ дал:
1
Ответ: -7/8
Пошаговое объяснение:
Приложения:

Ответ дал:
1
Ответ:
Пошаговое объяснение:
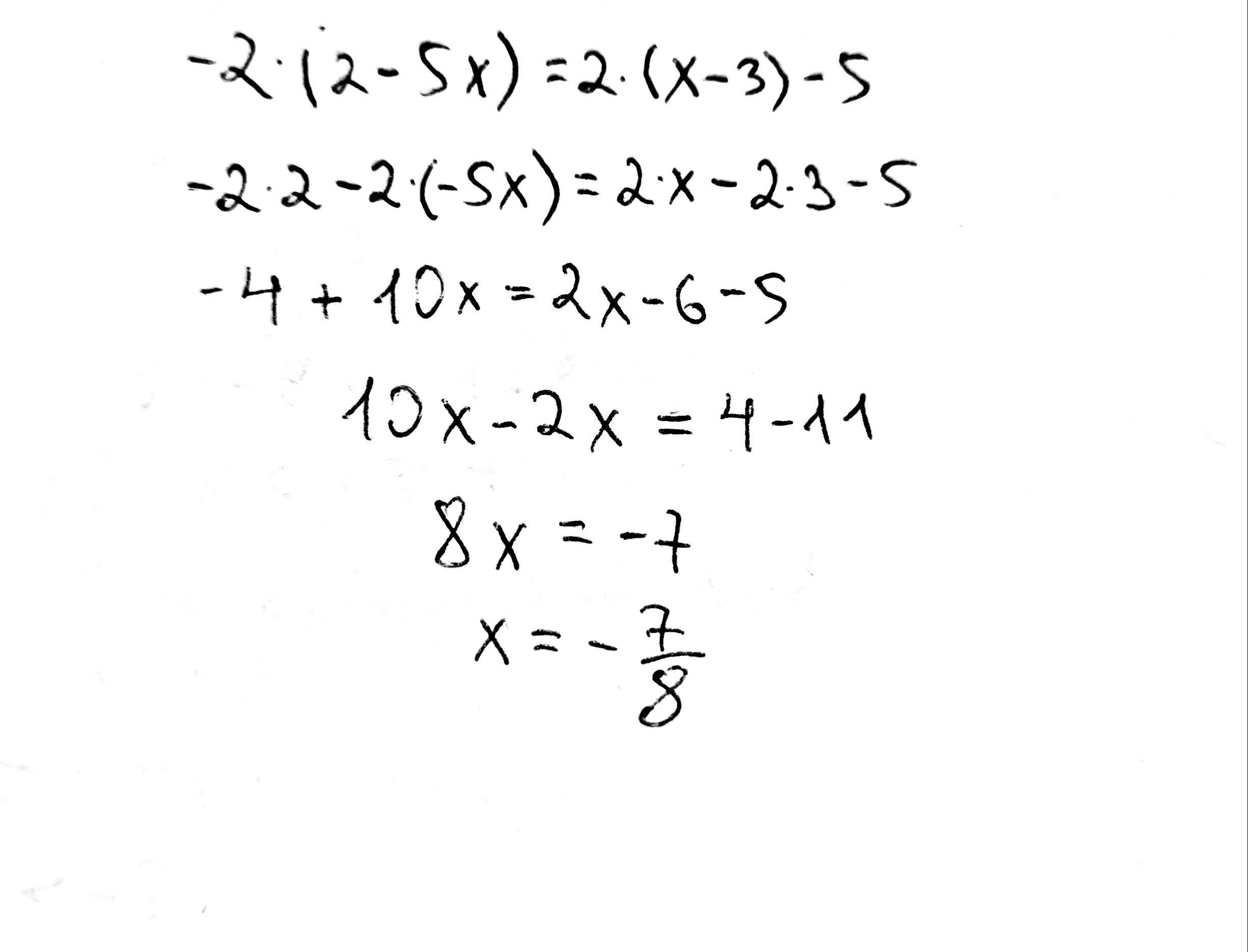
-2 (2 - 5x) = 2 (x - 3) - 5
-4+10x=2x-6-5
-4+10x=2x-11
-4+10x-2x+11=0
8x+7=0
8x= -7
x= -7/8
Вас заинтересует
2 года назад
2 года назад
2 года назад
7 лет назад
9 лет назад
9 лет назад