• Предмет: Алгебра
  • Автор: Аноним
  • Вопрос задан 3 года назад

ПЛИЗ ПРОШУ ПОМОГИТЕ
ПОЖАЛУЙСТА!!!!!!!!!! ​

Приложения:

Ответы

Ответ дал: rahmathuzaevmuzaffar
1

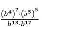
(b⁴)²×(b⁵)⁵/b¹³×b¹⁷

b⁸×b²⁵/b³⁰

b³³/b³⁰=b³

Вас заинтересует