Ответы
Ответ дал:
0
Ответ:
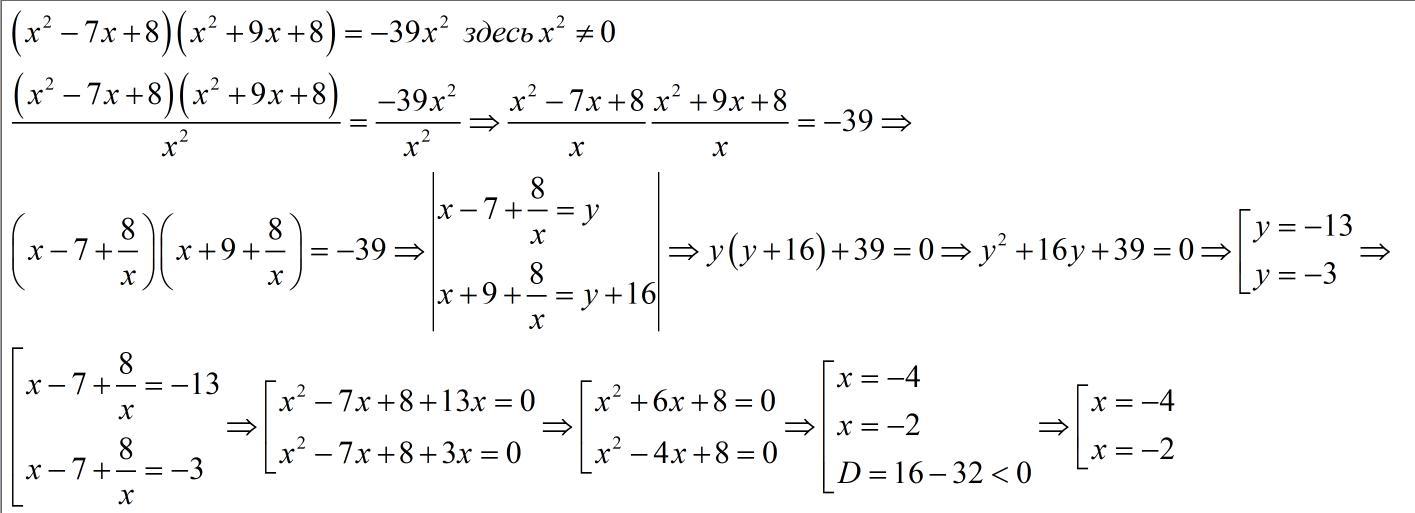
x₁= -4, x₂ = -2
Объяснение:
Ответ дал:
0
Ответ:
Объяснение:
///////////////////////////////////////
Приложения:

Вас заинтересует
2 года назад
2 года назад
7 лет назад
7 лет назад
9 лет назад