• Предмет: Алгебра
  • Автор: Аноним
  • Вопрос задан 3 года назад

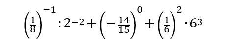
4. Вычислите значение выражения

Приложения:

Ответы

Ответ дал: Universalka
1

(\frac{1}{8})^{-1}:2^{-2}+(-\frac{14}{15})^{0}+(\frac{1}{6})^{2}*6^{3}=8:\frac{1}{4}+1+\frac{1}{6^{2}}*6^{3} =8*4+1+6=\\\\=32+7=39\\\\Otvet:\boxed{39}

Вас заинтересует