Ответы
Ответ дал:
1
Ответ:
Объяснение:
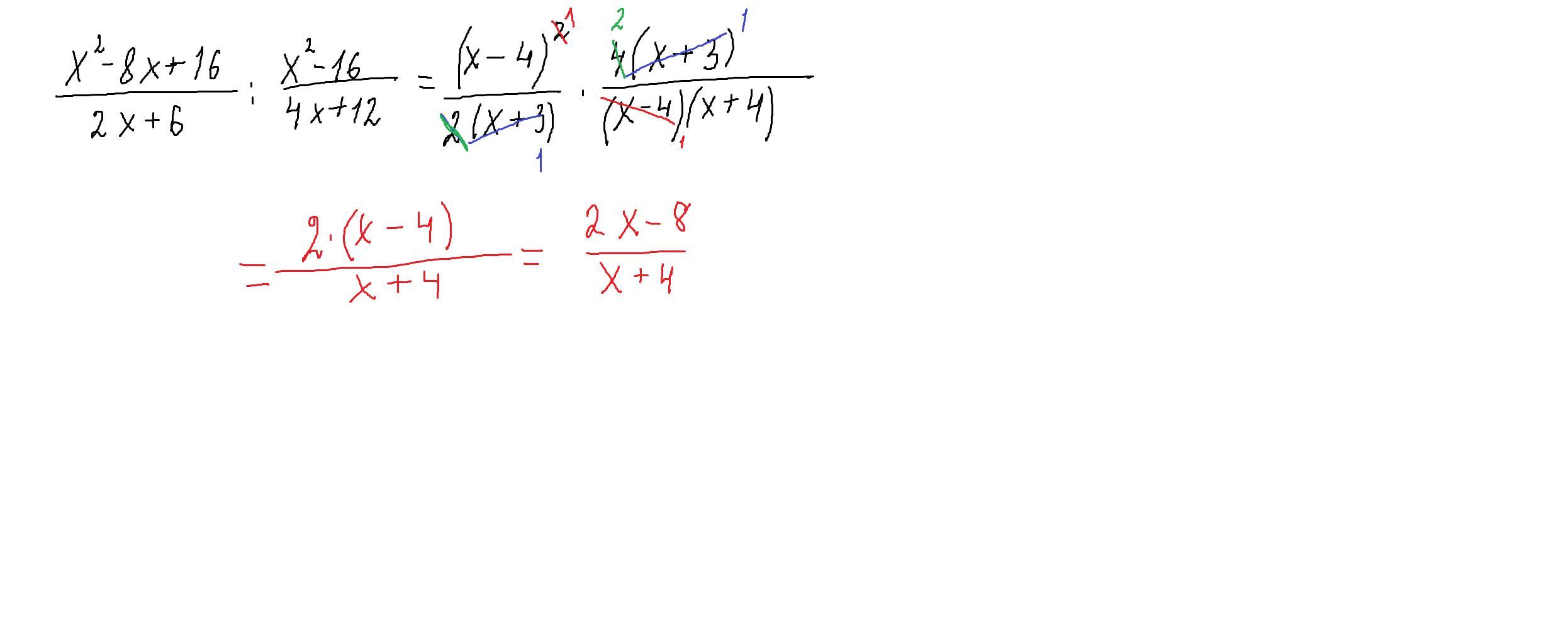
решение внизу
Приложения:

Аноним:
Спасибо большое. Дай вам Бог здоровья!
Вас заинтересует
2 года назад
2 года назад
7 лет назад
7 лет назад
9 лет назад