Ответы
Ответ дал:
1
Ответ:
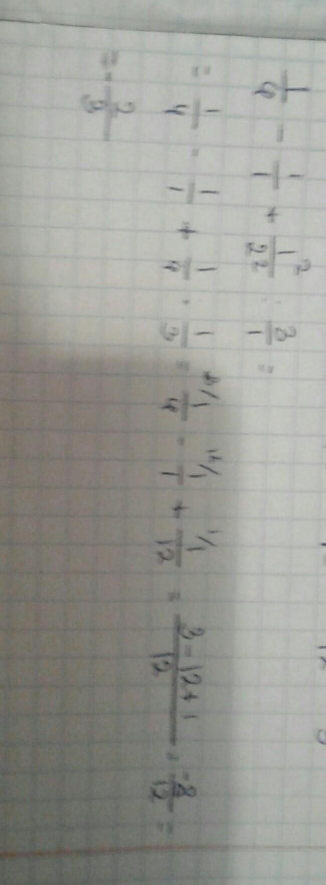
-2/3
Объяснение:
1) (1/2)^2 : 3 = 1/4 : 3/1 = 1/12
2) (1/4)^1 - (3/8)^0 + 1/12 = 1/4 - 1/1 + 1/12 = 3-12+1/12 = -8/12 = - 2/3
Ответ дал:
1
Объяснение:
любое число или дробь в 0 степени - это 1
любое число или дробь в 1 степени равняется этому же числу
Приложения:

Вас заинтересует
2 года назад
2 года назад
2 года назад
2 года назад
7 лет назад
7 лет назад