Ответы
Ответ дал:
0
Ответ:
Вложениеееееееееееее
Приложения:

Ответ дал:
0
Ответ:
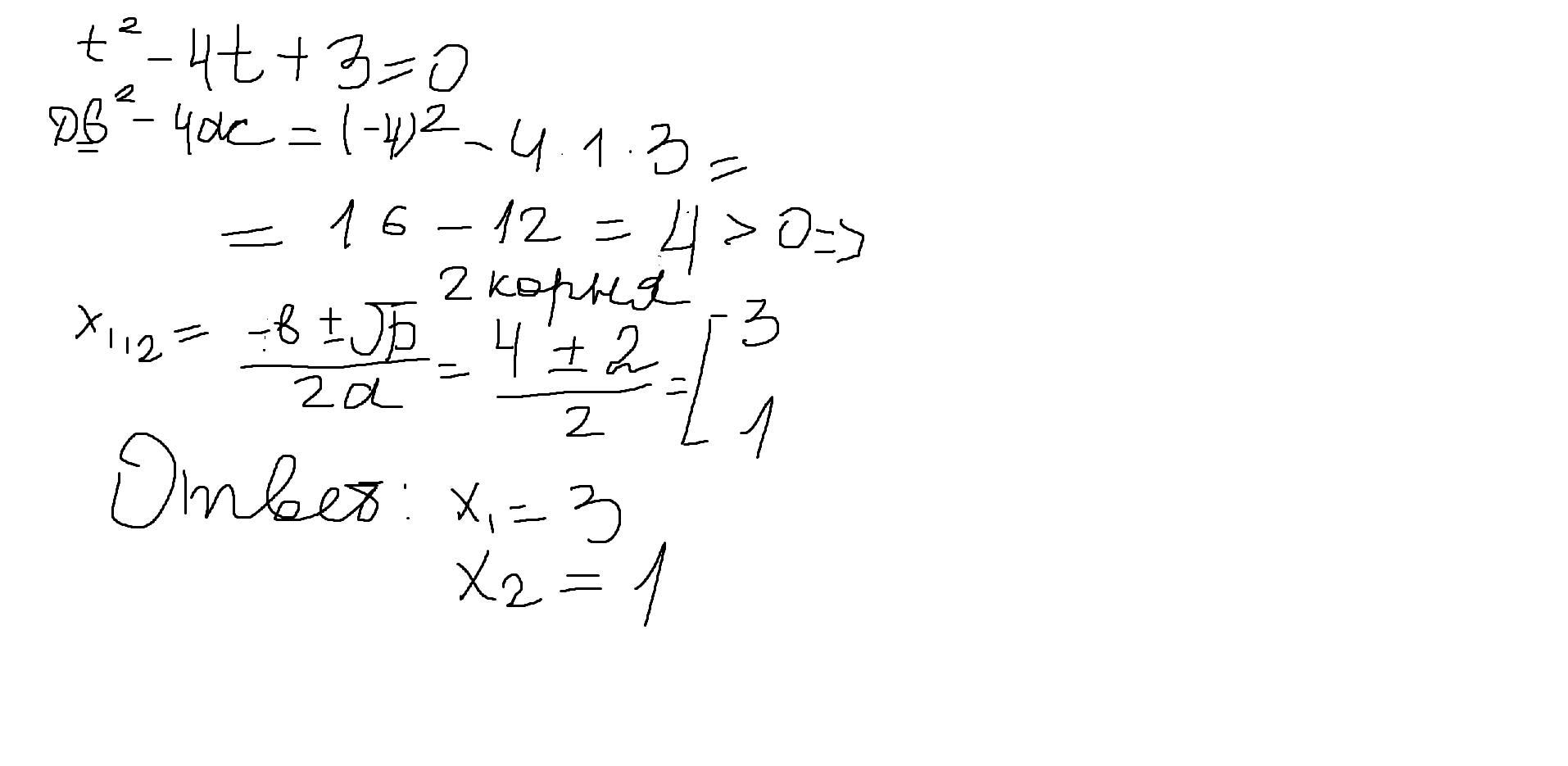
сначала находим дискриминант
Объяснение:
Д=16-12=4
потом находим корни уравнения
t1=(4+2)/2=3
t2=(4-2)/2=1 и уравнение решено ответы 3 и 1
Вас заинтересует
2 года назад
2 года назад
7 лет назад
9 лет назад