• Предмет: Математика
  • Автор: Аноним
  • Вопрос задан 3 года назад

Пожалуста пожалуста пожалуста ​

Приложения:

Ответы

Ответ дал: marinaa120
0

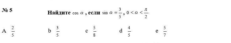
Ответ:

можно найти этот косинус так:

sin²a + cos²a = 1

отсюда cos a = √(1-sin²a) = √(1-9/25)= √16/25= 4/5

ответ d

Вас заинтересует