Ответы
Ответ дал:
0
Ответ:
Объяснение:
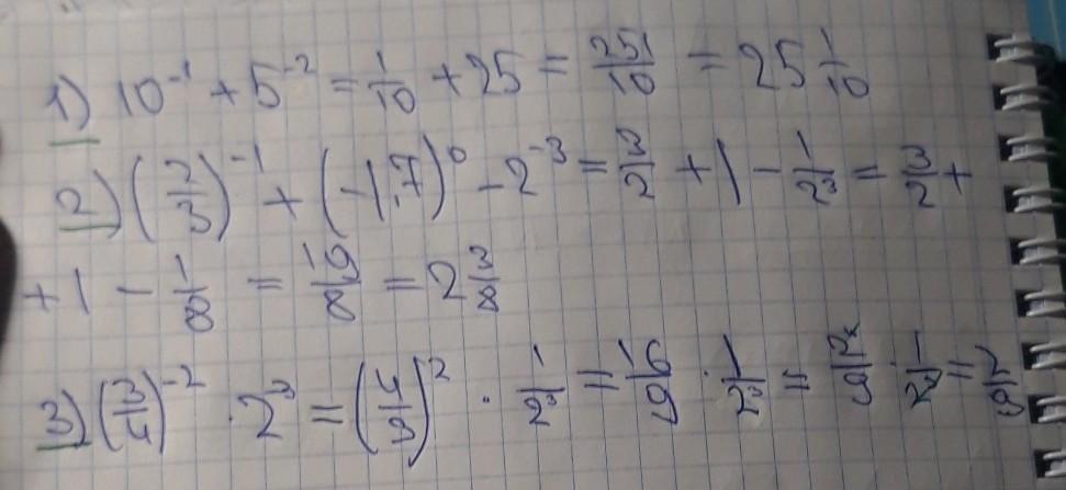
1) =1/10+1/25=0,1+0,04=0,14
2) =3/2 +1 -1/8=5/2-1/8=20/8 -1/8 =19/8=2 3/8
3) =16/9 *1/8=2/9
dashaalimova11:
ну это не понятноооо
Ответ дал:
0
Ответ:
ну вроде понятно...
............................
Приложения:

Вас заинтересует
2 года назад
2 года назад
7 лет назад
7 лет назад
9 лет назад
9 лет назад