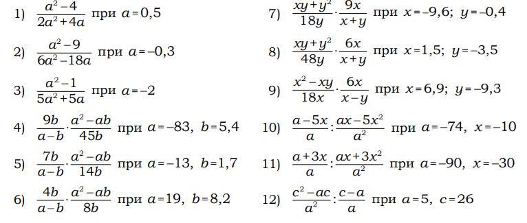
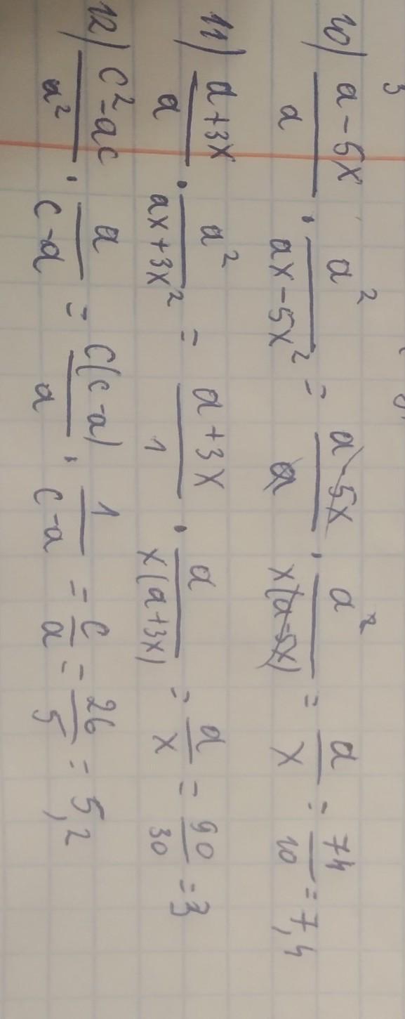
Помогите решить алегбраические выражения
Приложения:

Zombynella:
Это много, удалят всё. Делите на 3 части.
Ответы
Ответ дал:
0
Ответ:
1)-1,5
2)-1,5
3)0,3
4)-16,6
5)-6,5
6)9,5
7)-4,8
8)0,1875
9)2,3
10)7,4
11)3
12)5,2
Приложения:



Вас заинтересует
2 года назад
2 года назад
7 лет назад
9 лет назад