Ответы
Ответ дал:
7
Ответ:
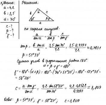
всё решение на фото
Приложения:


Вас заинтересует
2 года назад
2 года назад
2 года назад
7 лет назад
7 лет назад
9 лет назад