Ответы
Ответ дал:
0
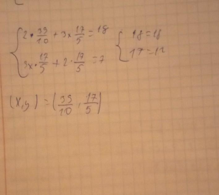
Пошаговое объяснение:
Тут ответ и пошаговое обьяснение
Приложения:

Аноним:
не правельно
Вас заинтересует
2 года назад
2 года назад
7 лет назад
9 лет назад