• Предмет: Математика
  • Автор: piter12200719
  • Вопрос задан 3 года назад

Пожалуйста, решете:
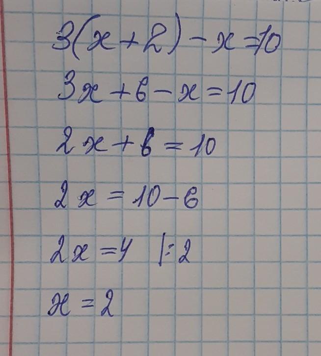
3(x+2)-x=10

Ответы

Ответ дал: meri20070102
1

Ответ на фото❤

P.S. заранее пожалуйста:3

Приложения:
Ответ дал: oberemoksnezana3
1

Ответ:

3x + 6 - x = 10

2x+ 6=10

2x= 10 - 6

2x = 4

x = 4:2

x = 2

Вас заинтересует