• Предмет: Математика
  • Автор: galuaorlova
  • Вопрос задан 3 года назад

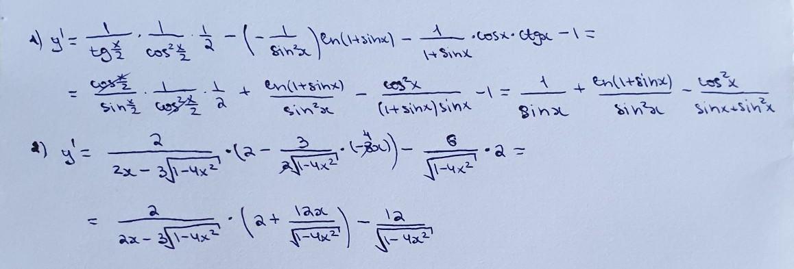
Помогите пожалуйста. Задание: продифферинцировать функции

Приложения:

Ответы

Ответ дал: Miroslava227
0

Ответ:

решение на фотографии

Приложения:
Вас заинтересует