Ребятки, помогите пожалуйстаааааа!!!!!!!!!!
Найти значение выражений:
1. 50sin2x, если cos=-3/5 (-П меньше x меньше 0)
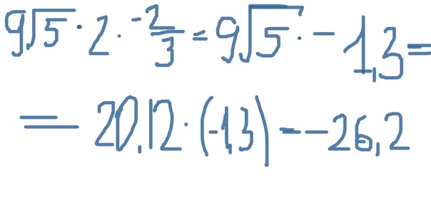
2. 9 корень из 5 sin2x, если sinx=-2/3
3.3cos^2a-1, если sin^2a=0.2
Ответы
Ответ дал:
0
кажется так решается 2 но я не уверена
Приложения:

Вас заинтересует
2 года назад
2 года назад
8 лет назад
8 лет назад
10 лет назад
10 лет назад
10 лет назад
10 лет назад