Ответы
Ответ дал:
0
Если условие выглядит так, то ответ правильный.
Приложения:


Ответ дал:
0
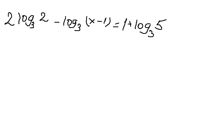
Решение в прикрепленном файле
Приложения:

Вас заинтересует
2 года назад
2 года назад
8 лет назад
8 лет назад
10 лет назад
10 лет назад