• Предмет: Алгебра
  • Автор: sanaept5
  • Вопрос задан 3 года назад

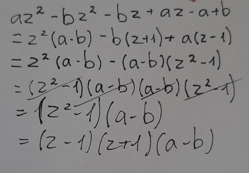
Разложите на множители АС во второй степени минус BZво второй степени минус B Z + AC - A + B​

Ответы

Ответ дал: elenaignatyeva1
1

.............................

Приложения:

sanaept5: AZв2степини-bz2степини-bz+Az-a+b
alihanazigov7: спасибо большое
Вас заинтересует