• Предмет: Математика
  • Автор: tehnod246
  • Вопрос задан 3 года назад

133:(38x-95)=7
Как решаетса это

Ответы

Ответ дал: khuramovamunisafff
0

Ответ:

Проверка:  133 : (38 * 3 - 95) = 7

                  133 : (114 - 95) = 7

                   133 : 19 = 7

                    7 = 7

Пошаговое объяснение:

133 : (38х - 95) = 7

38х - 95 = 133 : 7

38х - 95 = 19

38х = 19 + 95

38х = 114

х = 114 : 38

х = 3

Ответ дал: demchenkosonya
0

Ответ:

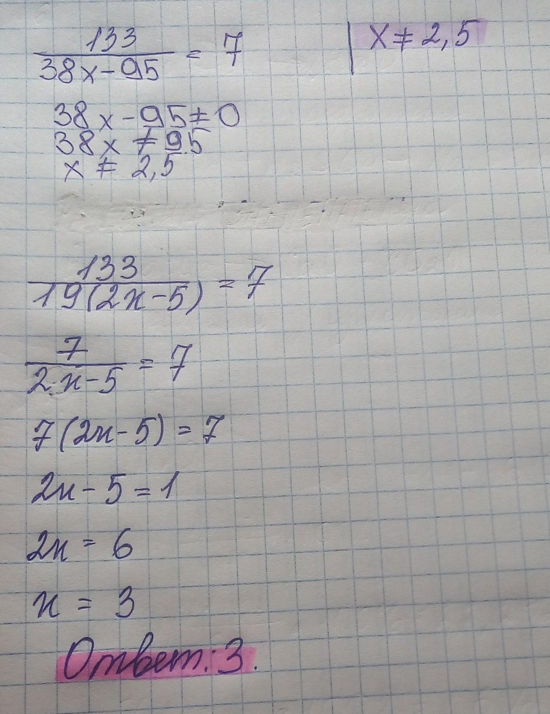
3. Решение во вложении....

Приложения:
Вас заинтересует