• Предмет: Алгебра
  • Автор: hristinbogdan
  • Вопрос задан 3 года назад

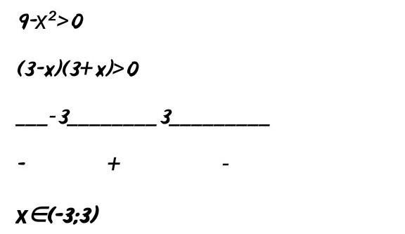
Знайти область визначення функції:
а) у = logo 0.7 (3 – х); б) у = log5
(x2 — 5х)

Ответы

Ответ дал: aliaomarova001
0

Ответ:

если вообще не так то я извеняюсь но вроде так я думаю какой класс у взрослых спрошу и напишу точный ответ

Объяснение:

примерно так только другие цифры должны быть

Приложения:
Вас заинтересует