• Предмет: Алгебра
  • Автор: awif15
  • Вопрос задан 3 года назад

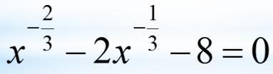
РЕШИТЕ ПОЖАЛУЙСТА!!! СРОЧНОООО

Приложения:

Ответы

Ответ дал: m11m
1

Ответ:

Объяснение:

!!!!!!!!!!!!!!!!!!!!

Приложения:
Вас заинтересует