• Предмет: Алгебра
  • Автор: ak250705
  • Вопрос задан 3 года назад

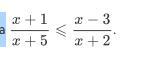
Найдите наибольшее целое решение неравенства

Приложения:

Ответы

Ответ дал: tanvadim2
1

Ответ:

Ответ на картинке, всё очень просто решаем уравнение

Приложения:

tanvadim2: поменяйте знак, 0,2≥-0,5 , ошибочка , извиняюсь
Вас заинтересует