• Предмет: Алгебра
  • Автор: ak250705
  • Вопрос задан 3 года назад

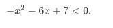
найдите множество решений неравенства
В ответе запишите наибольшее отрицательное целое значение удовлетворяющее неравенству.

Приложения:

Ответы

Ответ дал: m11m
3

Ответ:

Объяснение:

!!!!!!!!!!!!!!!!!!!!!

Приложения:
Вас заинтересует