• Предмет: Математика
  • Автор: carliranyt
  • Вопрос задан 3 года назад

Пожалуйста помогите дам 20 баллов

Приложения:

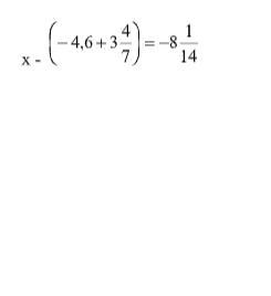
carliranyt: Это уравнение если чо

Ответы

Ответ дал: nabievadaniya0500
1

Я думаю вот так

Пошаговое объяснение:

Приложения:
Вас заинтересует