• Предмет: Физика
  • Автор: yeban4541
  • Вопрос задан 3 года назад

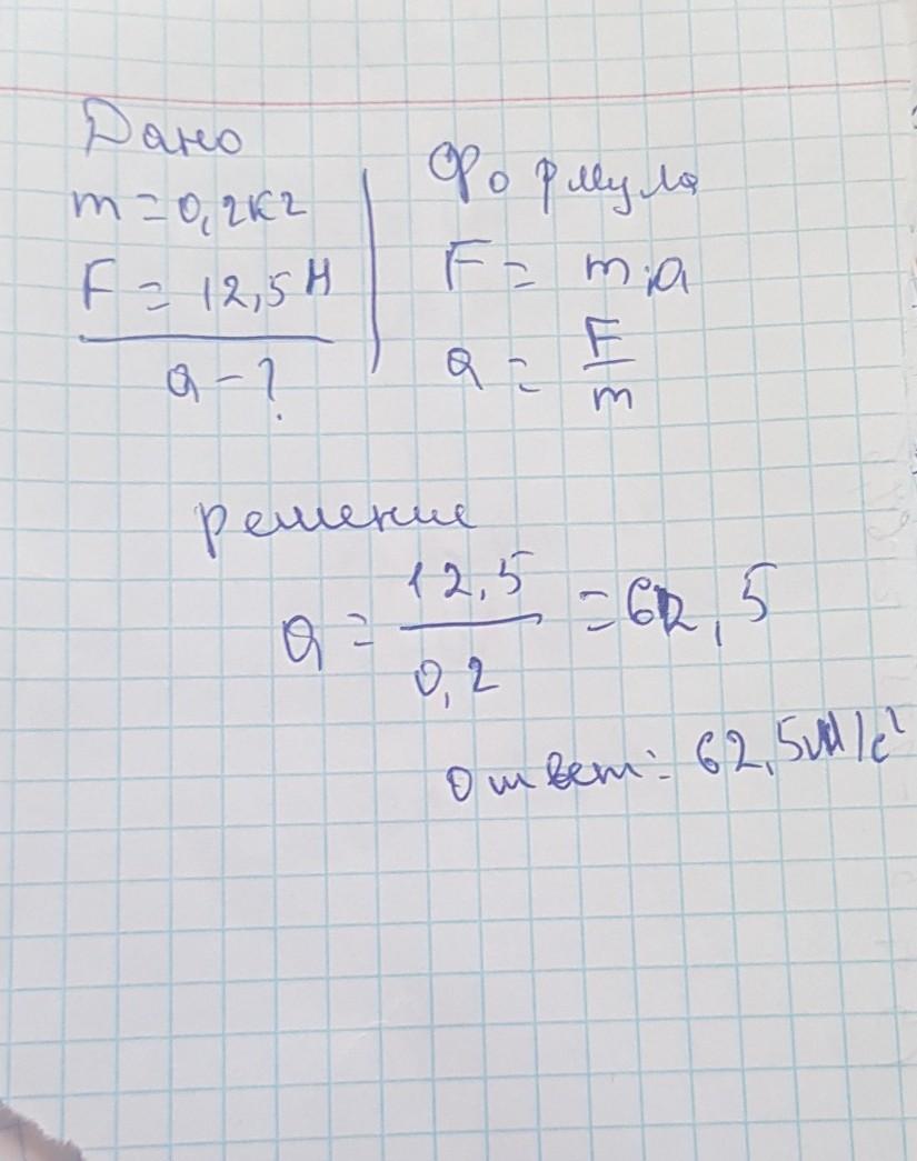
1. Тело массой 200 г начинает
двигаться равноускоренно под
действие силы 12,5 Н Определите
приобретенное телом ускорение?

Ответы

Ответ дал: kudratbekIsmailov
0

Ответ:

ответ:

62.5 м/с^2

Объяснение:

всё на фотографии.

Приложения:
Вас заинтересует