• Предмет: Геометрия
  • Автор: ndnks
  • Вопрос задан 3 года назад

ПОМОГИТЕ ПОЖАЛУЙСТА ДАЮ 40 БАЛЛОВ И ЛУЧШИЙ ОТВЕТ МНЕ ОЧЕНЬ НАДО ПРОШУ ВАААС!!!

Приложения:

Ответы

Ответ дал: slysnenko
1

Ответ:

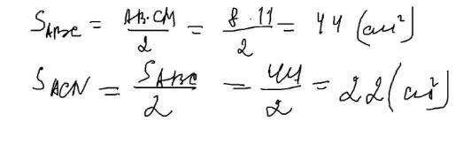
S (ACN)=22

Объяснение в фото.

Приложения:

ndnks: Спасибо большое!!!
slysnenko: Сделай ответ лучшим, если не сложно
ndnks: Хорошо, сделаю когда появится кнопка :)
Вас заинтересует