• Предмет: Алгебра
  • Автор: ablikcsgo
  • Вопрос задан 3 года назад

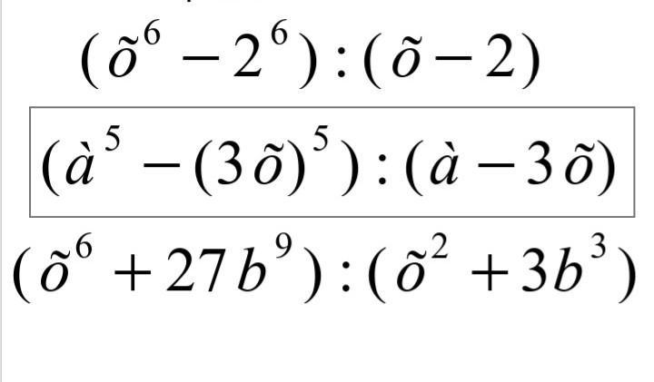
крч я случайно 15 поставил сори Алгебра кто хочет помочь буду рад

Приложения:

Ответы

Ответ дал: DamirTerekbaev
1

Формулы сокращённого умножения многочленов

Приложения:
Вас заинтересует