Ответы
Ответ дал:
1
Ответ:
Пошаговое объяснение:
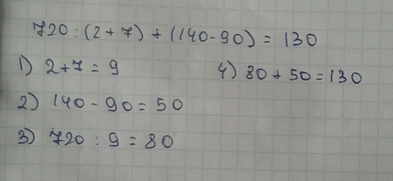
2+7=9
140-90=50
720:9=80
80+50=130
Ответ дал:
2
Пошаговое объяснение:
Если что то не понятно, пиши в комментариях
1 действие всегда в скобках
2 действие умножение или деление
3 сложение и вычитание
Приложения:

Вас заинтересует
2 года назад
2 года назад
2 года назад
7 лет назад
7 лет назад
9 лет назад