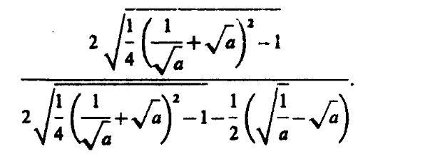
Нужно упростить, а затем найти допустимые значения 'a' для данного выражения.
Я сделал, но ответ не совсем точный, если кто понимает, помогите разобраться!
Приложения:


lidiasaraa3:
а что в ответе?
Ответы
Ответ дал:
1
Ответ:
a>1
Объяснение:
После упрощений получится следующее
Допустимые значения для a:
- Так как а входит под знак корня, то a>=0
Если a<1 , то знаменатель найденного выражения равен 0, значит a>1, выражение превращается в
Проверяем себя с помощью Maxima
Приложения:

Вас заинтересует
2 года назад
2 года назад
7 лет назад
7 лет назад
9 лет назад