Ответы
Ответ дал:
1
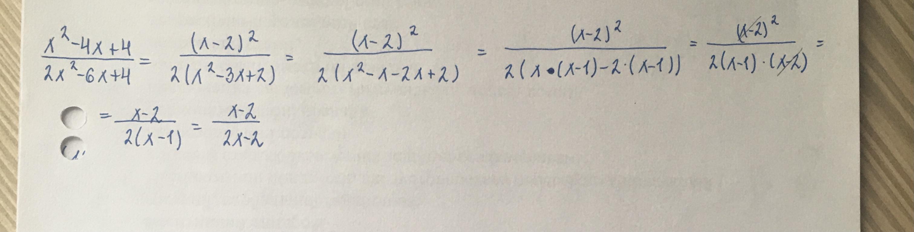
На фото все расписала
Приложения:

Ответ дал:
0
_________________________________
Готово!!!Удачи!!
Вас заинтересует
2 года назад
2 года назад
2 года назад
7 лет назад
7 лет назад
9 лет назад