Ответы
Ответ дал:
0
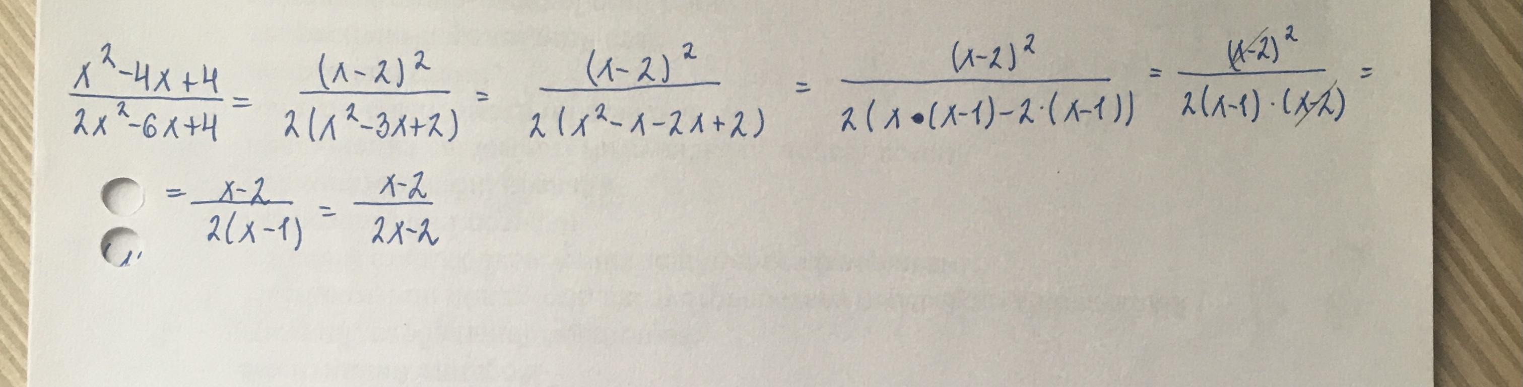
На фото все расписала
Приложения:

Ответ дал:
0
Ответ:
Приложения:


Вас заинтересует
2 года назад
2 года назад
2 года назад
2 года назад
7 лет назад
7 лет назад