Ответы
Ответ дал:
1
Ответ:
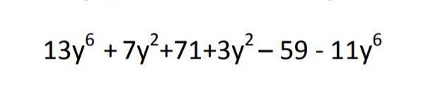
2y^6+10y^2+12
Объяснение:
Ответ дал:
1
__________________________
Готово!!!Удачи...
Приложения:

Вас заинтересует
2 года назад
2 года назад
2 года назад
7 лет назад
7 лет назад
9 лет назад