• Предмет: Математика
  • Автор: makspolina1510
  • Вопрос задан 3 года назад

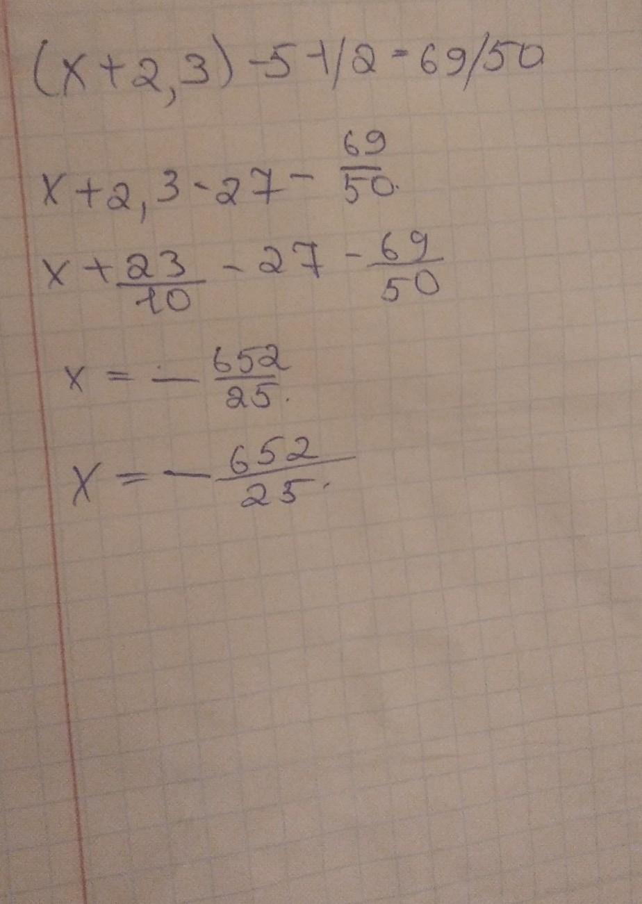
решить уравнение (х+2,3)-51/2=69/50

Ответы

Ответ дал: sabitbastykov80
0

Ответ:

вот всё не обращайте внимание на черновик

Приложения:
Вас заинтересует