• Предмет: Геометрия
  • Автор: dprincessa
  • Вопрос задан 3 года назад

ДАЮ 50 БАЛЛОВ!!! ГЕОМЕТРИЯ 9 КЛАСС, ОЧЕНЬ СРОЧНО!!!!!​

Приложения:

Ответы

Ответ дал: lolsos2014
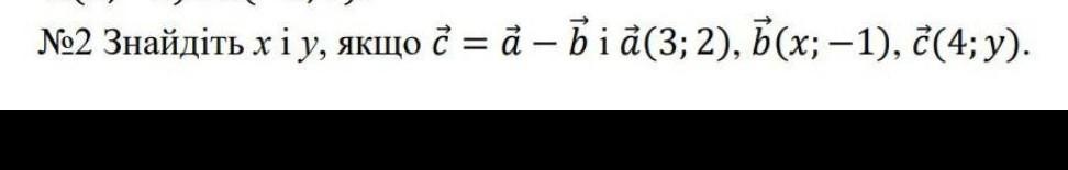
1

Ответ:

Объяснение:

3 - х = 4   =>  x = -1

2 - (-1) = у    =>  y = 3

Вас заинтересует