• Предмет: Алгебра
  • Автор: lipinegor105
  • Вопрос задан 3 года назад

ПОМОГИТЕ СРОЧНО АЛГЕБРА ДАЮ 10 БАЛЛОВ

Приложения:

Ответы

Ответ дал: 87iapq27k4
1

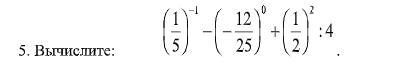
На фото все расписала

Приложения:
Вас заинтересует