Ответы
Ответ дал:
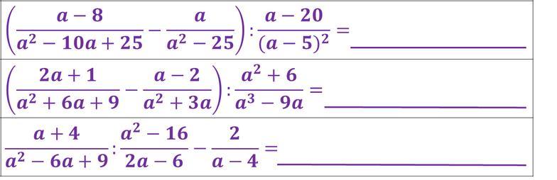
1
Ответ:
аоатлаоалаоаьашаокьоатагалоалп
Приложения:



Raikcorn15:
а что за прога скажи пж
Вас заинтересует
2 года назад
2 года назад
7 лет назад
9 лет назад