Ответы
Ответ дал:
1
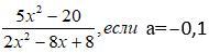
"а" нет в уравнении, наверное там "х" по-этому я подставила -0,1 вместо "х"
Приложения:

tiagudin:
да там ошибка походу
Вас заинтересует
2 года назад
2 года назад
2 года назад
7 лет назад
9 лет назад