• Предмет: Математика
  • Автор: Valer26
  • Вопрос задан 3 года назад

Plizzzz помогите пожалуйста

Приложения:

Ответы

Ответ дал: helver
1

Ответ:

Пошаговое объяснение:

Не уверена, но что успела...

Приложения:
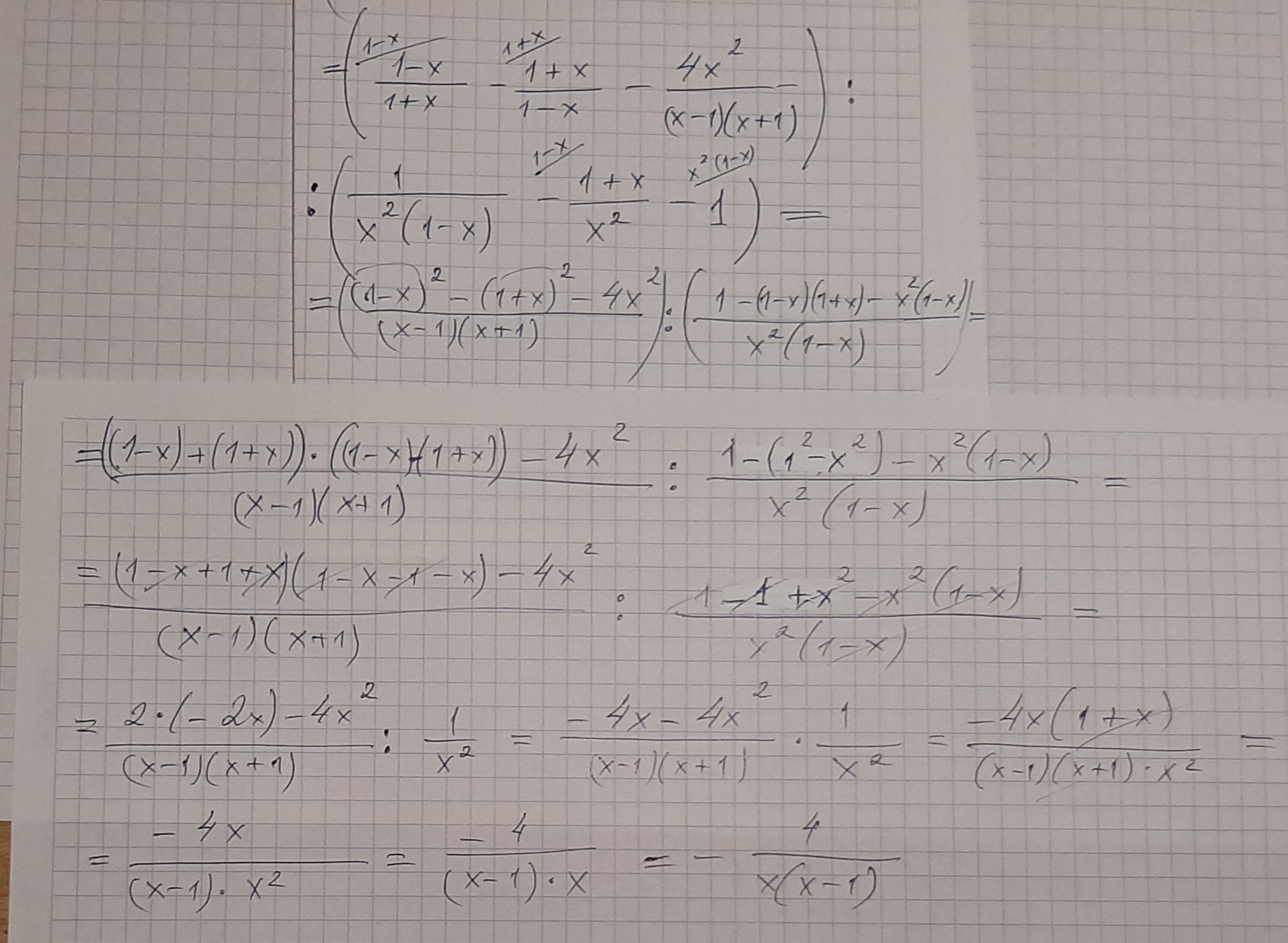
Ответ дал: Miа16
1

Ответ: \frac{4x-4}{1+x}

Пошаговое объяснение:

(\frac{1-x}{1+x} -\frac{1+x}{1-x} -\frac{4x^2}{x^2-1}:(\frac{1}{x^2-x^3} -\frac{1+x}{x^2} -1)=(\frac{1-x}{1+x} -\frac{1+x}{-(x-1)} -\frac{4x^2}{(x-1)*(x+1)} ):(\frac{1}{x^2*(1-x)} - \frac{1+x}{x^2} -1)= (\frac{1-x}{1+x} +\frac{1+x}{x-1} -\frac{4x^2}{(x-1)*(x+1)} ):\frac{1-(1-x)*(1+x)-x^2*(1-x)}{x^2*(1-x)} \frac{(x-1)*(1-x)+(1+x)^2-4x^2}{(x-1)*(1+x)} : \frac{1-(1-x^2)-x^2+x^3}{x^2*(1-x)} =\frac{(x-1)*(-(x-1))+(1+x)^2-4x^2}{(x-1)*(1+x)} : \frac{1-1+x^2-x^2+x^3}{x^2*(1-x)} = \frac{(x-1)*(-(x-1))+(1+x)^2-4x^2}{(x-1)*(1+x)} : \frac{x^3}{x^2*(1-x)} = \frac{-(x-1)^2+(1+x)^2-4x^2}{(x-1)*(1+x)} : \frac{x^2*(1-x)}{x^3} \frac{-(x-1)^2+(1+x)^2-4x^2}{(x-1)*(1+x)} :\frac{-(x-1)}{x} =\frac{-(x-1)^2+(1+x)^2-4x^2}{1+x} *\frac{-1}{x} = -\frac{-(x-1)^2+(1+x)^2-4x^2}{x*(1+x)} = \frac{-(x^2-2x+1)+1+2x+x^2-4x^2}{x*(1+x)} = -\frac{-x^2+2x-1+1+2x+x^2-4x^2}{x*(1+x)}

-\frac{4x-4x^2}{x*(1+x)} = -\frac{x*(4-4x)}{x*(1+x)} = -\frac{4-4x}{1+x} = \frac{4x-4}{1+x}

Вас заинтересует