Ответы
Ответ дал:
0
Ответ:
решение в приложение
Объяснение:
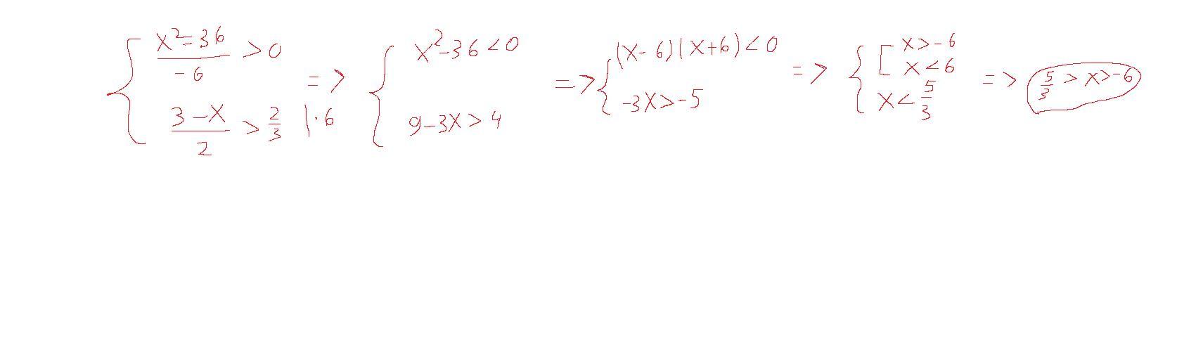
Первое неравенство будет больше ноля в том случае, если числитель будет меньше ноля, поэтому достаточно решить неравенство (x-6)(x+6)<0
Приложения:

Вас заинтересует
2 года назад
2 года назад
2 года назад
2 года назад
7 лет назад