Ответы
Ответ дал:
1
Ответ:
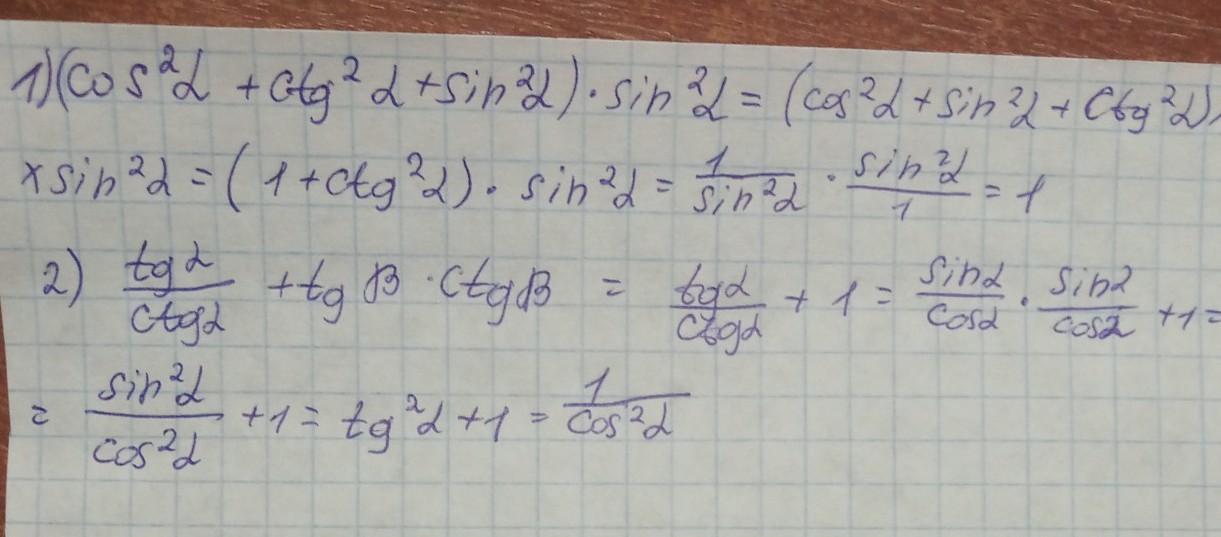
1)1
2)1/cos²a
Пошаговое объяснение:
подробное решение на фото
Приложения:

Ответ дал:
1
Ответ:
1/cos2a наверно...хкм.
Вас заинтересует
2 года назад
2 года назад
2 года назад
2 года назад
7 лет назад
9 лет назад
9 лет назад