Ответы
Ответ дал:
0
вот) надеюсь все как надо))) понятно?)
Приложения:


Ответ дал:
0
если что-то не понятно, пиши, объясню)
Ответ дал:
0
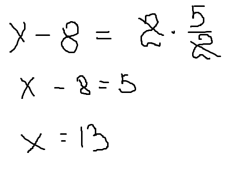
А)(х-8)*2/5=2
2:2/5=5
х-8=5
х=8+5
х=13
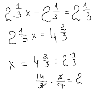
Б)2 1/3х - 2 1/3 = 2 1/3
2 1/3+2 1/3=4 2/3
2 1/3х=4 2/3
х=4 2/3:2 1/3
х=2 5/21
2:2/5=5
х-8=5
х=8+5
х=13
Б)2 1/3х - 2 1/3 = 2 1/3
2 1/3+2 1/3=4 2/3
2 1/3х=4 2/3
х=4 2/3:2 1/3
х=2 5/21
Приложения:


Вас заинтересует
2 года назад
2 года назад
8 лет назад
8 лет назад
10 лет назад
10 лет назад
10 лет назад