Ответы
Ответ дал:
1
Ответ:
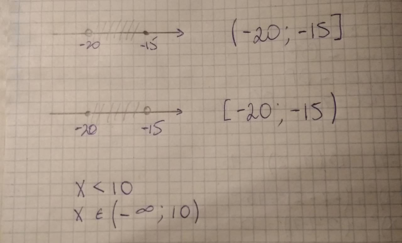
1)[-20;-15)
2)(-∞;10)
3)(-20;-15]
4)[-20;-15)
( )— это значит не включая число, на прямой точка не закрашена
[ ]— это значит включая число, на прямой точка закрашена
<,>— не включая число
≤,≥—включая число
Ответ дал:
1
Ответ на фото. Сравни задания
Приложения:

Вас заинтересует
2 года назад
2 года назад
2 года назад
7 лет назад
7 лет назад
9 лет назад