• Предмет: Алгебра
  • Автор: Nyankat7273
  • Вопрос задан 3 года назад

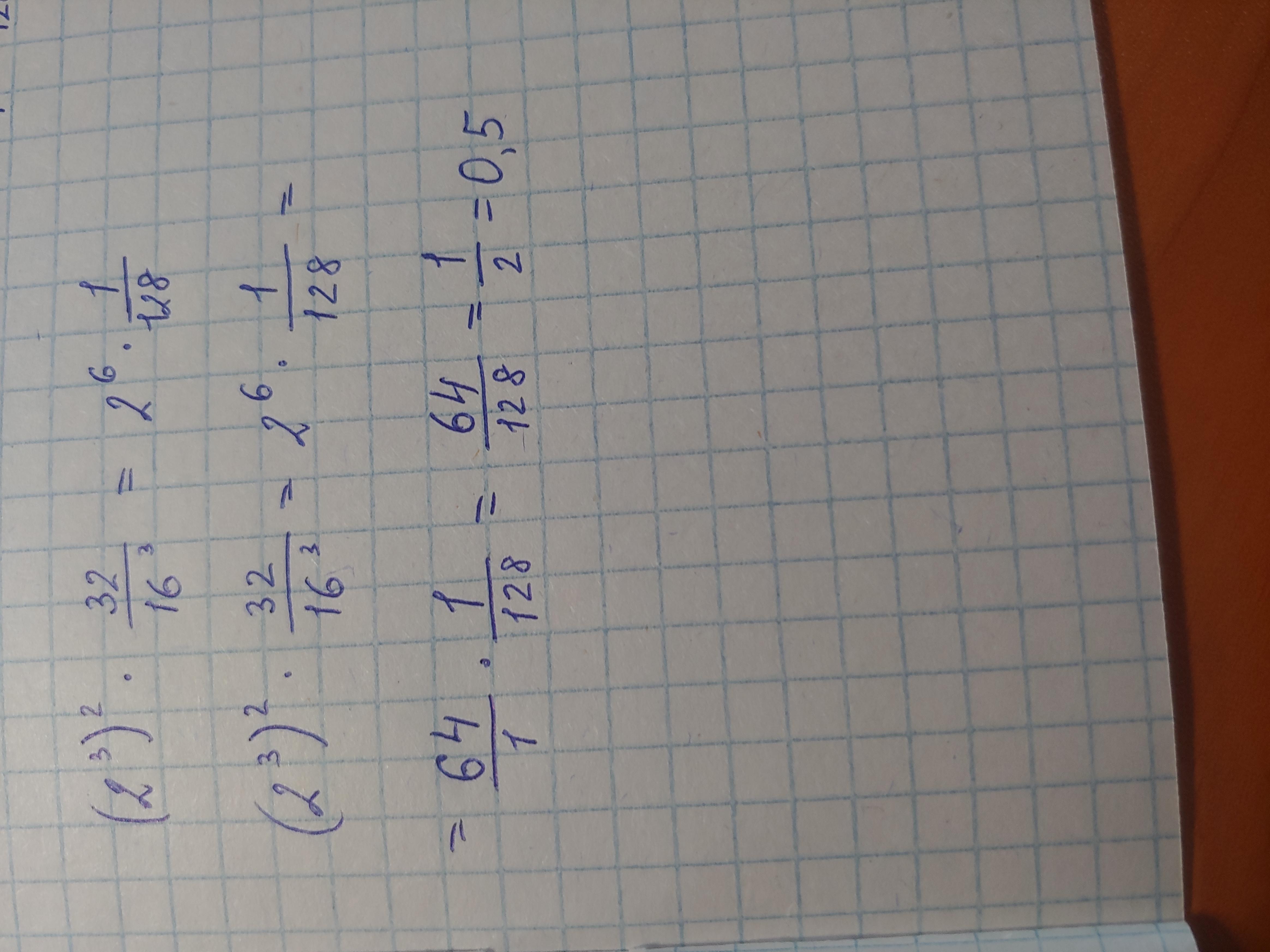
Вычисли: (2^3)^2×32/16^3


marymore149: Третья степень относится только в 16 или к 32/16?
Nyankat7273: / это черта дроби, 3 степень относится к 16
marymore149: Хорошо
Nyankat7273: там есть варианты ответов -1/2=0,5 ;
1/2=0,5 ;
1/4=0,25

Ответы

Ответ дал: marymore149
1

Ответ: 0,5. Вот фотогоафия с решением

Приложения:

Nyankat7273: спасибо)
Ответ дал: sangers1959
1

Объяснение:

\frac{(2^3)^2*32}{16^3}=\frac{2^6*2^5}{(2^4)^3}=\frac{2^{11}}{2^{12}}=\frac{1}{2} =0,5.


Nyankat7273: спасибо)
sangers1959: Удачи.
Вас заинтересует