• Предмет: Алгебра
  • Автор: belaevanasta363
  • Вопрос задан 3 года назад

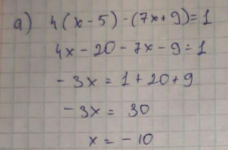
4.13. Срочно надо!!! a) 4(x - 5) - (7x + 9) = 1;
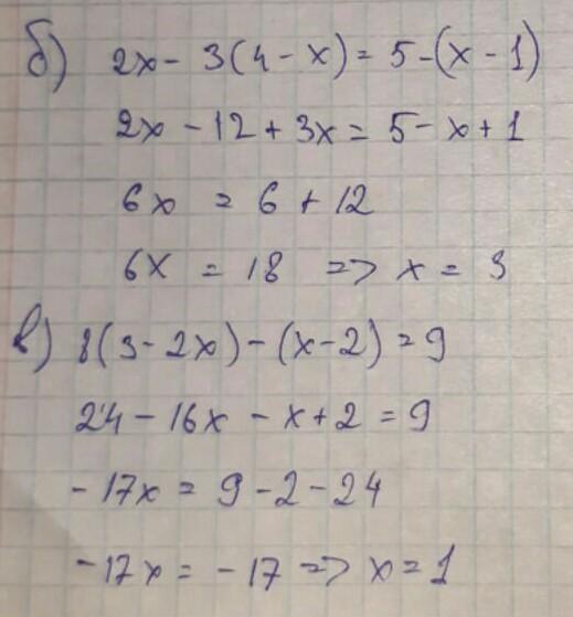
6) 2x - 3/4 - x) = 5 - (x - 1);
B) 8(3 - 2x) - (x - 2) = 9;
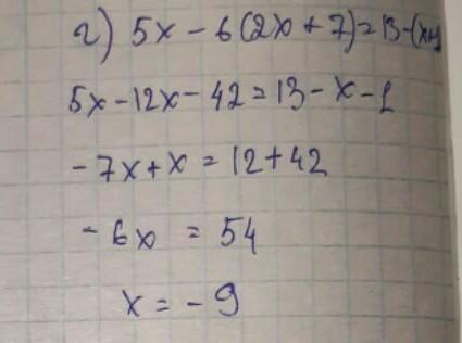
r) 5x - 6(2x + 7) = 13 – (x + 1).​

Ответы

Ответ дал: varvarapostnikova34
1

а)х=-10 б)х=3 в)х=1 г)х=-9

Приложения:
Вас заинтересует