• Предмет: Алгебра
  • Автор: ealino14
  • Вопрос задан 3 года назад

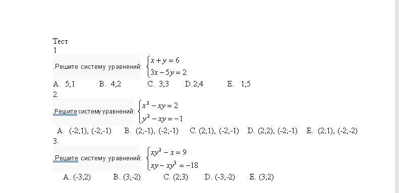
Решите систему уравнений 28 баллов

Приложения:

Ответы

Ответ дал: asemtutkaeva
1

Объяснение:

1.В 4;2

3.Е (3;2)

Вторую не смогла решить

Вас заинтересует