• Предмет: Алгебра
  • Автор: Angela202035
  • Вопрос задан 3 года назад

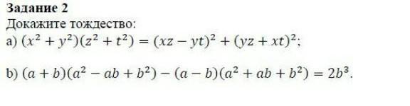
докажите тождество :​

Приложения:

Ответы

Ответ дал: coner46
3

Ответ:

а) доказано

б) доказано

Объяснение:

а) (x²+y²)(z²+t²)=(xz-yt)²+(yz+xt)²

(xz-yt)²+(yz+xt)²=x²z²-2xzyt+y²t²+y²z²+2yzxt+x²t²=

=x²z²+y²t²+y²z²+x²t²=x²(z²+t²)+y²(z²+t²)=(x²+y²)(z²+t²)

б) (a+b)(a²-ab+b²)-(a-b)(a²+ab+b²)=2b³

(a+b)(a²-ab+b²)-(a-b)(a²+ab+b²)=a³+b³-a³+b³=2b³

Вас заинтересует