• Предмет: Математика
  • Автор: zeresayasat4
  • Вопрос задан 3 года назад

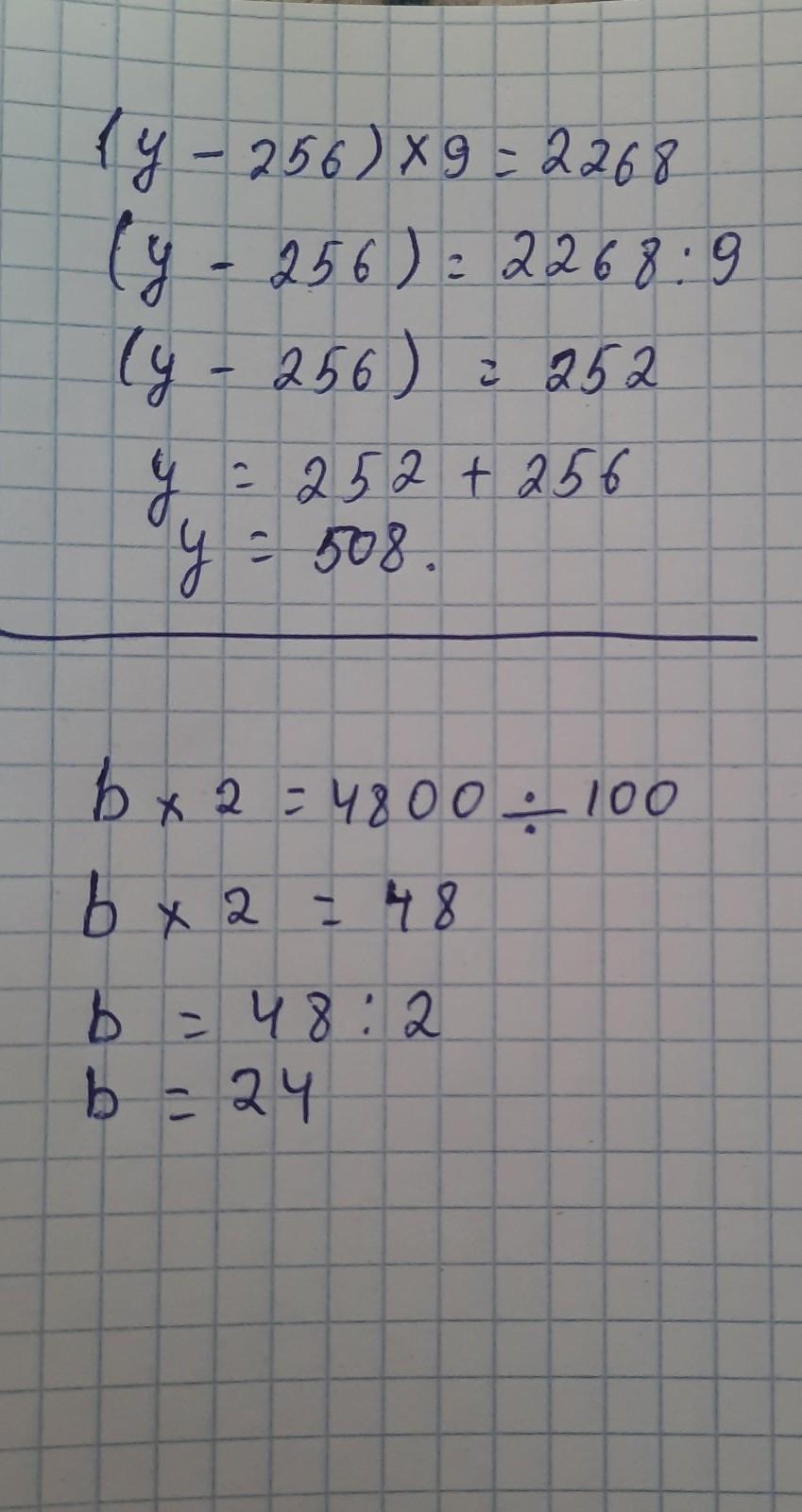
(у-256)×9=2268

b×2=4800÷100

РЕШИТЕ УРАВНЕНИЯ
ПОЖАЛУЙСТА ПОМОГИТЕ, 20 БАЛЛОВ

Ответы

Ответ дал: janerkeabdimajit
1

осылай болады походу................

Приложения:

zeresayasat4: рахмет
janerkeabdimajit: оқасы жоқ
Ответ дал: almasainazym6
1

Ответ:

1)(у-256)×9=2268

(у-256)=252

у=252+256

у=508

2)b×2=4800÷100

b÷2=48

b=48÷2

b=24

Вас заинтересует